来源:久好电子
发布时间:2025-11-27
JHM2051是一款针对单电容传感器设计的的低功耗、高精度信号调理集成电路,搭配湿敏电容,使用芯片内置的温度传感器,可以用于测量环境温湿度。芯片内置16-bitΣΔCDC电路,将电容及温度分别转换为16位数字信号,再经过芯片内置算法,转换为当前环境的温湿度并输出。

电源电压:2.0~5.5V
平均电流:~4μA@1Hz ODR
支持单电容传感器
其电容有效分辨率约为40aF(13.4bit,量程4.7pF)
待测电容变化范围:0.94pF 或0.47pF
待测电容共模范围:7pF 或3.5pF
内置温度传感器3σ噪声:0.15°C
集成非线性补偿和温度补偿,可同时对传感器的零点温漂、灵敏度温漂和非线性度进行最高二阶补偿
I2C通信协议,支持Standard、Fast mode、Fast mode plus 模式
带有非易失性存储器(OTP),可保存传感器的校准参数,最多支持两次校准
支持MEMS传感器自加热功能
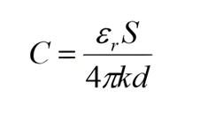
温湿度传感器是一种用于测量环境中温度和湿度的设备,广泛应用于气象观测、室内环境监测、农业、工业自动化、医疗保健以及物流运输等。其工作原理主要基于物质在温度和湿度变化时电学特性的变化。JHM2051电容式温湿度传感器利用介质介电常数与环境温度和湿度的关系来实现测量,在温湿度传感器中,电容C仅与介电常数成正比(需要注意的是,温度也是影响因素之一,即温漂,因此多数情况下需要使用芯片温度补偿功能)。

湿敏电容的主要优点是灵敏度高、响应速度快、湿度的滞后量小、便于制造、容易实现小型化和集成化,其精度一般比湿敏电阻要低一些。
JHM2051属于低功耗调理芯片,功能测试如下:待机电流在0.01uA以内,NOR模式下128过采样率时,1Hz功耗约23.5uA。

芯片的相应速度和过采样率设置相关,最快可达500Hz的响应速度,如下表:

JHM2051支持对外部单电容的测量,典型应用如下:其中CI为湿敏电容,通过简单的外围电路(去耦电容,IIC上拉电阻),即可实现对环境温湿度的测量。

另外JHM2051支持MEMS加热功能,目的在于去除某些湿度传感器表面的冷凝水,以免影响湿度传感器对空气中的湿度变化做出响应。另外,周期性地加热湿度MEMS 传感器也可以使其长时间在高湿环境下无蠕变地工作,原理如下:

温湿度传感器一般使用湿敏电容MEMS加ASIC(裸芯),这就需要MEMS封装技术。其中涉及到盖板封装材料,引线键合方式,基板材料以及包封胶等,这些因素可能给传感器的寄生电容和温漂造成影响。